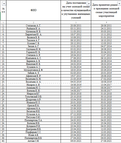
В этом году в Марий Эл 40 молодых семей получат свидетельства на социальные выплаты для приобретения или строительства жилья.
Об этом сообщает Минстрой республики. Кто вошёл в список претендентов, можно ознакомиться в документах ведомства (на фото).
По условиям программы «Обеспечение доступным и комфортным жильем и коммунальными услугами граждан Российской Федерации» семья, получившая свидетельство, должна воспользоваться им в течение 7 месяцев.
Мэр Йошкар-Олы вручил молодой многодетной семье сертификат на жильё.
Фото: источник photogenica, автор Kryzhov, скрин



Хотите, чтобы Ваша новость появилась на сайте MariMedia.ru?